您的位置首页生活百科

扇形的面积公式?

扇形的面积公式?

的有关信息介绍如下:

1、弧长公式

角度制计算

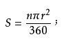
扇形的面积公式?  , l是弧长,n是扇形圆心角,π是圆周率,R是扇形半径。

弧度制计算

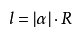
扇形的面积公式?  ,l是弧长,|α|是弧l

所对的圆心角的弧度数的绝对值,R是扇形半径。

2、面积公式

R是扇形半径,n是弧所对圆心角度数,π是圆周率,L是扇形对应的弧长。

也可以用扇形所在圆的面积除以360再乘以扇形圆心角的角度n,如下:

扇形的面积公式?

扇形的面积公式? (L为弧长,R为扇形半径)

推导过程:S=πR²×L/2πR=LR/2

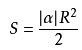
扇形的面积公式?  (L=│α│·R)

扇形的面积公式?

扩展资料:

扇形(符号:⌔),是圆的一部分,由两个半径和和一段弧围成,在较小的区域被称为小扇形,较大的区域被称为大扇形。在右图中,θ是扇形的角弧度,r是圆的半径,L是小扇形的弧长。

圆弧为180°的扇形称为半圆。其他圆弧角的扇形有时给予其特别的名字,其中包括象限角(90°)、六分角(60°)以及八分角(45°),它们分别是整圆的1/4、1/6、1/8。

组成部分

1、圆上A、B两点之间的的部分叫做“圆弧”简称“弧”,读作“圆弧AB”或“弧AB”。

2、以圆心为中心点的角叫做“圆心角”。

3、有一种统计图就是“扇形统计图"。

参考资料:百度百科-扇形