您的位置首页生活百科

等比数列前n项和公式

等比数列前n项和公式

的有关信息介绍如下:

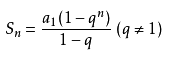
等比数列前n项和公式为:

等比数列前n项和公式

等比数列公式就是在数学上求一定数量的等比数列的和的公式。另外,一个各项均为正数的等比数列各项取同底数数后构成一个等差数列;反之,以任一个正数C为底,用一个等差数列的各项做指数构造幂Can,则是等比数列。

等比数列性质

①若 m、n、p、q∈N*,且m+n=p+q,则am·an=ap·aq;

②在等比数列中,当q≠-1,或q=-1且k为奇数时,依次每 k项之和仍成等比数列。

如:银行有一种支付利息的方式---复利。

即把前一期的利息和本金加在一起算作本金,

再计算下一期的利息,也就是人们通常说的利滚利。

按照复利计算本利和的公式:本利和=本金×(1+利率)^存期。