您的位置首页百科问答

排列组合的公式

排列组合的公式

的有关信息介绍如下:

排列组合计算公式如下:

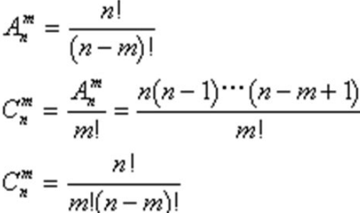
1、从n个不同元素中取出m(m≤n)个元素的所有排列的个数,叫做从n个不同元素中取出m个元素的排列数,用符号 A(n,m)表示。

排列组合的公式

2、从n个不同元素中,任取m(m≤n)个元素并成一组,叫做从n个不同元素中取出m个元素的一个组合;从n个不同元素中取出m(m≤n)个元素的所有组合的个数,叫做从n个不同元素中取出m个元素的组合数。用符号 C(n,m) 表示。

排列组合的公式

排列就是指从给定个数的元素中取出指定个数的元素进行排序。组合则是指从给定个数的元素中仅仅取出指定个数的元素,不考虑排序。

排列组合的中心问题是研究给定要求的排列和组合可能出现的情况总数。 排列组合与古典概率论关系密切。

扩展资料

排列组合的发展历程:

根据组合学研究与发展的现状,它可以分为如下五个分支:经典组合学、组合设计、组合序、图与超图和组合多面形与最优化。

由于组合学所涉及的范围触及到几乎所有数学分支,也许和数学本身一样不大可能建立一种统一的理论。

然而,如何在上述的五个分支的基础上建立一些统一的理论,或者从组合学中独立出来形成数学的一些新分支将是对21世纪数学家们提出的一个新的挑战。

参考资料:百度百科—排列组合